Горячая десятка: самые острые вопросы в практике применения ФЗ-44 в текущем комплектовании библиотек


Вот и настал «час икс». С 1 января 2014 г. вступил в силу Федеральный закон № 44-ФЗ «О контрактной системе в сфере закупок для государственных и муниципальных нужд». Но ещё до его вступления в действие к Новому году мы получили очередной «подарок» – обновлённую редакцию ФЗ-44, а именно Федеральный закон от 28.12.2013 № 396-ФЗ «О внесении изменений в отдельные законодательные акты Российской Федерации», который продлил сроки вступления в силу отдельных  положений закона:

В настоящее время в Государственной Думе РФ находятся на рассмотрении ещё семь законопроектов по внесению изменений в ФЗ-44. Таким образом, он, вероятно, очень быстро «догонит» ФЗ-94, который за время своего существования претерпел 35 редакций.

Страна получила «сырой» закон и наспех принятые подзаконные акты, которые дорабатываются на ходу. Кроме новой редакции ещё не вступившего в силу закона, в конце 2013 г. было принято более 40 нормативных документов, имеющих принципиальное значение для комплектования. С ними можно ознакомиться на официальном сайте госзакупок www.zakupki.gov.ru в разделе «Нормативные правовые акты по контрактной системе».

Библиотеки, издатели и поставщики вынуждены применять ФЗ-44 и имеющиеся подзаконные акты на практике. В большинстве случаев эта практика приводит их в полное недоумение.

Обращаем внимание, что в системе «КонсультантПлюс» появился платный ресурс «Путеводитель по контрактной системе в сфере госзакупок», содержащий пошаговые инструкции, образцы форм документов и комментарии к ФЗ-44.

Начиная с января 2014 г. Секция по формированию библиотечных фондов РБА осуществляет мониторинг работы библиотек по ФЗ-44. В результате сложился топ самых острых вопросов, которые рассматриваются в статье. К сожалению, на некоторые из вопросов ответов нет. Возможно, они появятся только в результате внесения поправок в действующее законодательство по госзакупкам или принятия подзаконных актов, в том числе ведомственных. Пока можно лишь констатировать абсурдность некоторых требований закона по отношению к закупкам для текущего комплектования библиотек.

Из многочисленных принятых в последнее время документов для комплектования, в первую очередь, имеют значение:

НОВЫЕ СПОСОБЫ ЗАКУПКИ В СООТВЕТСТВИИ С ФЗ-44 И ИХ ИСПОЛЬЗОВАНИЕ БИБЛИОТЕКАМИ

Минэкономразвития России подготовило специальные разъяснения в наглядных схемах от 22.10.2013 «Методические разъяснения по осуществлению закупок с применением различных способов определения поставщика (подрядчика, исполнителя) в соответствии с Федеральным законом от 05.04.2013 № 44-ФЗ». Данные методические разъяснения размещены на специально открытом сайте.

Там же можно найти комментарии к ФЗ-44, информацию для заказчиков и поставщиков и ответы на вопросы.

Напомним, закон предусматривает возможность использования заказчиками следующих конкурентных способов определения поставщиков (исполнителей, подрядчиков):

Для библиотек применение закрытых способов определения поставщиков предусмотрено лишь в случае оказания услуг по страхованию, транспортировке, охране редких и ценных изданий, рукописей, архивных документов (включая их копии), имеющих историческое, художественное или иное культурное значение, передаваемых и принимаемых заказчиками от физических или юридических лиц во временное владение и пользование, в том числе в связи с проведением выставок на территории РФ и (или) территориях иностранных государств (п. 3 ч. 2 ст. 84).

Для применения закрытых процедур необходимо согласование с уполномоченным органом в сфере закупок соответствующего уровня и подчинения. «Порядок согласования применения закрытых способов определения поставщиков (подрядчиков, исполнителей), возможности заключения контракта с единственным поставщиком (подрядчиком, исполнителем)» утверждён приказом Минэкономразвития России от 13.09.2013 № 537.

Постановлением Правительства РФ от 28.11.2013 № 1089 «Об условиях проведения процедуры конкурса с ограниченным участием при закупке товаров, работ, услуг для обеспечения государственных и муниципальных нужд» определён перечень случаев, когда товары, работы и услуги по причине их технической или технологической сложности способны поставить, выполнить, оказать только поставщики, имеющие необходимый уровень квалификации. Это касается объектов атомной энергетики, ядерных материалов, топлива и оружия, радиоактивных веществ и отходов и т.п. Библиотеки не вошли в указанный перечень и соответственно не могут применять процедуру конкурса с ограниченным участием.

Распоряжением Правительства Российской Федерации от 31.10.2013 № 2019-р утверждён перечень товаров, работ и услуг, которые должны закупаться через электронный аукцион. В частности, в перечень включены:

К этой группе отнесена вся печатная продукция за исключением сувенирных и подарочных наборов (блокноты и записные книжки), бюллетеней для голосования на выборах и референдумах, репродукций, чертежей, фотографий (код 22.15.13), торговых каталогов (22.22.12.110) и торгово-рекламных материалов (22.22.12.190);

В отличие от ФЗ-94 в перечень не включены услуги по онлайн-доступу к электронным ресурсам, из чего следует, что они могут закупаться также и другими способами.

Процедура электронного аукциона мало изменилась. Пожалуй, существенным изменением является сокращение сроков рассмотрения вторых частей заявок до трёх дней и новые процедуры в случае, если электронный аукцион признан несостоявшимся.

Если электронный аукцион признан несостоявшимся, в том случае, когда участники были, но цену не снижали (т.е. не было подано ни одного предложения о цене контракта), возможна процедура заключения контракта с поставщиком по сроку подачи заявки. То есть контракт заключается с организацией, чья заявка на участие была по времени зарегистрирована раньше.

Если электронный аукцион признаётся несостоявшимся в случае, когда подана одна заявка, которая признаётся аукционной комиссией соответствующей требованиям ФЗ-44 и аукционной документации, заключается контракт с единственным поставщиком.

Если аукционной комиссией признаётся только один участник, а его заявка соответствует требованиям ФЗ-44 и аукционной документации, – с ним также заключается контракт, как с единственным поставщиком.

Если не подано ни одной заявки, ни один участник не был допущен к участию в электронном аукционе, ни одна вторая часть заявки не соответствует требованиям аукционной документации или победитель электронного аукциона уклонился от заключения контракта, в план-график вносятся изменения и проводится процедура запроса предложений.

Обращаем Ваше внимание, что для заключения контракта с единственным поставщиком в случае, если аукцион признан несостоявшимся в соответствии с ч. 25 ст. 93, требуется согласование с уполномоченными органами в сфере закупок (см. ниже).

Таким образом, из всех видов конкурсов библиотеки могут использовать открытый и двухэтапный конкурсы для закупки онлайн-доступа к электронным ресурсам, а также закрытый конкурс для приобретения услуг по страхованию, транспортировке, охране редких и ценных изданий, рукописей, архивных документов с предварительным согласованием с уполномоченным органом.

Печатная продукция и электронные издания, записанные на материальных носителях, закупаются через электронный аукцион.

КОТИРОВКИ (СТ. 72 ФЗ-44)

Если начальная (максимальная) цена контракта не превышает 500 тыс. рублей, заказчик вправе осуществлять закупки путём проведения запроса котировок. При этом совокупный годовой объём закупок, осуществляемых путём проведения запроса котировок, не должен превышать 10% объёма средств, предусмотренных на все закупки заказчика в соответствии с планом-графиком, но не должен составлять более 100 млн рублей в год. По сравнению с ФЗ-94, при проведении данного способа закупок снято понятие одноимённости и ограничение по срокам закупки.

Извещение о проведении котировки размещается на официальном сайте госзакупок – в Единой информационной системе (ЕИС) не менее чем за семь дней до её проведения. В течение пяти дней заказчик может внести изменения в извещение. В течение семи дней он имеет право отозвать или изменить заявку в случае внесения изменений в извещение о проведении котировки.

Заявки подаются в конвертах или в электронном виде. После вскрытия заявок и открытия доступа к файлам заявок, поданных в электронной форме, комиссия проводит оценку заявок и оформляет протокол их рассмотрения.

Если процедура запроса котировок признана несостоявшейся (в случае, если только одна заявка признана соответствующей установленным требованиям или подана только одна заявка, соответствующая этим требованиям), заказчик по согласованию с уполномоченным органом в сфере закупок заключает договор с единственным поставщиком.

Если котировочной комиссией отклонены все поданные заявки, заказчик продлевает срок подачи заявок на четыре рабочих дня, размещает соответствующее извещение и направляет запрос не менее чем трём участникам, которые могут осуществить условия контракта. Если по истечении этого срока подана хотя бы одна заявка, соответствующая установленным требованиям, то после согласования с уполномоченным органом в сфере закупок заключается контракт с единственным поставщиком. Если не подана ни одна заявка, заказчик вносит изменения в план-график и осуществляет закупку вновь.

ЗАПРОС ПРЕДЛОЖЕНИЙ (Ч. 2 СТ. 83 ФЗ-44)

Это новая процедура, введённая ФЗ-44. Установлено девять случаев, когда заказчик вправе проводить запрос предложений (ЗП). Непосредственно закупок для текущего комплектования библиотек касаются два из них:

Извещение о запросе предложений размещается в ЕИС не менее чем за пять дней до начала процедуры. Наряду с этим можно направить приглашения лицам, которые могут заключить и исполнить контракт (из числа своих контрагентов). ЗП – это публичная процедура. В присутствии участников закупки заявки вскрываются комиссией, идёт их рассмотрение, комиссия оглашает условия лучшей заявки. Затем всем участникам предлагается направить свои предложения в течение одного рабочего дня. Побеждает участник, подавший окончательное предложение с лучшими условиями.

Контракт заключается не ранее семи и не позднее 20 дней после окончания процедуры ЗП. В случае если победитель уклоняется от заключения контракта, контракт заключается со вторым участником при условии его согласия. Если все участники отказались от подписания контракта, процедура ЗП заканчивается.

Если ЗП признан несостоявшимся, то по согласованию с уполномоченным органом в сфере контроля госзакупок заключается контракт с единственным поставщиком (если была подана хоть одна заявка, признанная соответствующей установленным требованиям). Если не было подано ни одной заявки, вносят изменения в план-график закупок и опять проводится ЗП.

ЗАКУПКИ У ЕДИНСТВЕННОГО ПОСТАВЩИКА (СТ. 93 ФЗ-44)

К неконкурентным способам закупок относятся закупки у единственного поставщика. В ФЗ-94 они регулировались ст. 55, в новом законе – ст. 93 «Осуществление закупки у единственного поставщика (подрядчика, исполнителя)».

Для заключения контракта с единственным поставщиком по результатам проведения конкурсных процедур в случае признания несостоявшимися конкурсов (ч. 1, 7 ст. 55), электронных аукционов (ч. 1–3 ст. 71), котировок (ч. 1–3 ст. 79), запроса предложений (п. 18 ст. 83) требуется согласование с ФАС России, органом исполнительной власти субъекта Российской Федерации, органом местного самоуправления муниципального района, органом местного самоуправления городского округа, уполномоченными на осуществление контроля в сфере закупок.

Порядок согласования утверждён приказом Министерства экономического развития РФ от 13.09.2013 № 537 «Об утверждении Порядка согласования применения закрытых способов определения поставщиков (подрядчиков, исполнителей), возможности заключения (заключения) контракта с единственным поставщиком (подрядчиком, исполнителем)». Приказ вступил в силу с 1 января 2014 г.

Для получения согласования заключения контракта с единственным поставщиком в вышеперечисленных случаях заказчик должен обратиться:

1) в целях обеспечения федеральных нужд – в ФАС России;

2) в целях обеспечения нужд субъекта Российской Федерации – в орган исполнительной власти субъекта Российской Федерации, уполномоченный на осуществление контроля в сфере закупок;

3) в целях обеспечения муниципальных нужд – в орган местного самоуправления муниципального района или орган местного самоуправления городского округа, уполномоченный на осуществление контроля в сфере закупок.

Обращение о согласовании заключения контракта с единственным поставщиком должно содержать информацию о признании несостоявшимся конкурса, повторного конкурса, электронного аукциона, запроса котировок, запроса предложений, дату и номер извещения об осуществлении закупки в ЕИС в сфере закупок.

К обращению должны быть приложены:

1) документация о закупках, а также разъяснения и изменения к ней (если такие разъяснения или изменения были сделаны заказчиком), копии протоколов, составленных в ходе проведения закупок;

2) информация о поставщике (подрядчике, исполнителе), с которым предполагается заключить контракт, – наименование, место нахождения, идентификационный номер налогоплательщика, и обоснование того, что данное лицо соответствует требованиям Федерального закона и документации о закупках;

3) документ о согласии указываемого в обращении поставщика (подрядчика, исполнителя) заключить контракт в соответствии с требованиями и условиями документации о закупках и по цене, не превышающей начальную (максимальную) цену контракта, указанную в извещении об осуществлении закупки или приглашении принять участие в определении поставщика (подрядчика, исполнителя) закрытым способом.

При этом, если обращение направлено по результатам несостоявшегося повторного конкурса или несостоявшегося запроса предложений (п. 8 ч. 2 ст. 83) к такому обращению также должны быть приложены документы в соответствии с п. 1 (документация о закупках, разъяснения и изменения к ней, копии протоколов, составленных в ходе закупок) по всем предшествующим несостоявшимся процедурам, явившимся основанием для проведения таких повторного конкурса, запроса предложений.

Помимо этих документов к обращению прилагаются доверенность, выданная и оформленная в соответствии с гражданским законодательством, или её заверенная копия либо иной документ, подтверждающий полномочия лица на осуществление действий от имени заказчика, уполномоченного органа, уполномоченного учреждения (копия решения о назначении или об избрании либо приказ о назначении физического лица на должность, в соответствии с которым такое физического лицо обладает правом действовать от имени заказчика, уполномоченного органа, уполномоченного учреждения без доверенности).

Поступившее обращение подлежит регистрации не позднее следующего рабочего дня после дня его поступления с присвоением ему регистрационного номера.

Обращение, содержащее вопросы, решение которых не входит в компетенцию данного контрольного органа, направляется в течение трёх рабочих дней со дня его регистрации по подведомственности, с уведомлением заказчика, направившего обращение, о переадресации обращения.

По результатам рассмотрения обращения контрольный орган принимает решение о согласовании или об отказе в согласовании возможности заключения контракта с единственным поставщиком (подрядчиком, исполнителем).

Решение оформляется письмом, которое направляется заказчику в срок, не превышающий 10 рабочих дней со дня поступления обращения.

В случае непредставления документов или информации, указанных в настоящем Порядке, контрольный орган дополнительно запрашивает у заявителя информацию и документы, предусмотренные настоящим Порядком, которые должны быть представлены в контрольный орган в срок, не превышающий трёх рабочих дней с даты получения запроса заявителем. Указанный запрос оформляется в виде письма и направляется заявителю в срок, не превышающий пяти рабочих дней с момента поступления обращения. При этом рассмотрение обращения приостанавливается до представления информации (документов). В случае непредставления информации в указанный срок контрольный орган не рассматривает принятое обращение и возвращает его заявителю.

В ходе рассмотрения обращения контрольный орган вправе:

Контрольный орган отказывает в согласовании возможности заключения контракта с единственным поставщиком (подрядчиком, исполнителем) в следующих случаях.

1. Если по результатам рассмотрения представленного обращения или прилагаемых к нему документов выявлены нарушения законодательства РФ о контрактной системе в сфере закупок, в том числе:

2. При выявлении факта необоснованного ограничения заявителем круга участников предполагаемых закрытых способов определения поставщиков (подрядчиков, исполнителей) либо проведённых закупок в случае обращения о возможности заключения контракта с единственным поставщиком (подрядчиком, исполнителем).

ЗАКУПКИ ДО 100 ТЫС. РУБЛЕЙ (П. 4 Ч. 1 СТ. 93 ФЗ-44)

Пункт 4 ч.1 ст. 93 ФЗ-44 позволяет осуществлять закупки товаров, работ, услуг на сумму, не превышающую 100 тыс. рублей. При этом совокупный годовой объём закупок, которые заказчик вправе осуществить на основании настоящего пункта, не должен превышать 5% размера средств, предусмотренных на осуществление всех закупок в соответствии с планом-графиком, и составляет не более чем 50 млн рублей в год. Указанные ограничения не распространяются на закупки товаров, работ, услуг, осуществляемые заказчиками для нужд сельских поселений.

ЗАКУПКИ ДО 400 ТЫС. РУБЛЕЙ (П. 5. Ч. 1 СТ. 93 ФЗ-44)

ФЗ-44 предусматривает возможность закупок «для нужд… библиотек … на сумму, не превышающую 400 тыс. рублей, при этом совокупный объём закупок, которые заказчик вправе осуществить на основании данного пункта, не превышает 50% от объёма средств, предусмотренных на все закупки заказчика в соответствии с планом-графиком, и составляет не более чем 20 млн рублей в год».

По сравнению с ФЗ-94, в ФЗ-44 отсутствуют очень существенные моменты. Это понятие одноимённости товаров, работ, услуг и сроки (один раз в квартал). То есть, если раньше библиотеки могли приобретать один раз в квартал по счетам на сумму до 100 тыс. и до 400 тыс. рублей одноимённые товары по каждому коду номенклатуры, то в новой системе эти виды закупок могут быть использованы на любые цели организации. Исходя из приоритетов администраций, комплектаторы могут потерять (частично или совсем) возможность закупок изданий и ресурсов на суммы до 100 тыс. и 400 тыс. рублей по кодам «Номенклатуры товаров, работ, услуг…», ранее «защищённым» ФЗ-94.

Новые правила негативно повлияют на комплектование большинства библиотек (прежде всего крупных), но, возможно, не будут иметь таких последствий для сельских библиотек.

Следует отметить, что для закупок на сумму до 100 тыс. рублей данным способом вправе воспользоваться любые заказчики, в том числе перечисленные в п. 5 ч. 1 ст. 93 ФЗ-44, т.е. библиотеки.

При закупках до 400 тыс. рублей данным способом вправе воспользоваться исключительно заказчики, перечисленные в п. 5 ч. 1 ст. 93 ФЗ-44, в том числе библиотеки.

Таким образом, по нашему мнению, если библиотека входит в состав института или университета, то она имеет возможность настаивать на своём праве закупки до 400 тыс. рублей для целей комплектования, помимо закупок самого вуза.

Эти способы закупок относятся к разряду упрощённых.

Для них не требуется:

Вместе с тем, при использовании этих способов закупки (п. 2–4 ч. 2 ст. 93), заказчик обязан обосновать в документальном отчёте невозможность (нецелесообразность) использования иных способов осуществления закупок, цену контракта и иные существенные его условия. При этом в целях эффективного расходования бюджетных средств при осуществлении закупки из единственного источника контракт должен содержать расчёт цены.

ЗАКУПКИ У АВТОРОВ И ПРАВООБЛАДАТЕЛЕЙ

В отличие от закупки по счетам на суммы до 100 тыс. рублей (п. 4 ч. 1 ст. 93) и до 400 тыс. рублей (п. 5 ч. 1 ст. 93) при закупке у авторов и правообладателей (п. 13 ч. 1 ст. 93) здесь нет ограничений по суммам.

Данный вид закупок предусматривает закупку произведений литературы и искусства определённых авторов (за исключением случаев приобретения кинопроектов в целях проката), исполнений конкретных исполнителей, фонограмм конкретных изготовителей для нужд заказчиков в случае, если единственному лицу принадлежат исключительные права или исключительные лицензии на такие произведения, исполнения, фонограммы.

Для закупки литературных произведений у определённых авторов, если единственному лицу принадлежат исключительные права или исключительные лицензии на такие произведения (п. 13 ч. 1 ст. 93), автору будет необходимо подтвердить свои права.

Здесь возможны несколько вариантов.

1. Автор издал книгу за свой счёт. Для подтверждения авторства потребуется копия договора на тиражирование произведения с типографией.

2. Автор заключил договор с издательством на передачу своих прав на использование произведения на определённый период. Срок договора закончился. Для подтверждения авторства достаточно будет предоставить копию титульного листа и оборота титульного листа с библиографическим описанием произведения и указанием знака копирайта.

Подтверждением авторских прав будет также нотариально заверенное заявление автора о том, что авторские права на данное произведение принадлежат ему.

3. Автор заключил с издательством (фирмой) лицензионный договор на передачу неисключительной лицензии на использование произведения на определённый период.

Подтверждением авторских прав будут являться копия титульного листа и его оборота с библиографическим описанием произведения и указанием знака копирайта и нотариально заверенное заявление автора.

4. У автора есть действующий договор с издательством на передачу права на использование произведения.

Автор не может в настоящее время распоряжаться правом на использование произведения, закупка должна осуществляться у издательства, которому переданы исключительные права на использование.

5. Наследник должен предоставить нотариально заверенные копии свидетельств о праве на наследство авторского права.

Юристы также рекомендуют передать произведение на депонирование (постоянное хранение) в Российское авторское общество. На основании депонирования  произведения автор получает свидетельство, в котором указаны номер, название произведения, автор (указывается по заявлению автора) и дата создания произведения (указывается по заявлению автора). Копия свидетельства о регистрации авторских прав в РАО также является подтверждением прав автора.

ЗАКУПКИ У ИЗДАТЕЛЕЙ И ДРУГИХ ПРАВООБЛАДАТЕЛЕЙ

Данный вид закупок регулируется п. 14 ч. 1 ст. 93 и предусматривает осуществление закупки у единственного поставщика (издателя) печатных или электронных изданий определённых авторов в случае, если издателю принадлежат исключительные права или исключительные лицензии на использование таких изданий, а также оказание услуг по предоставлению доступа к электронным изданиям для обеспечения деятельности государственных и муниципальных образовательных учреждений, библиотек, научных организаций.

В отличие от закупки по счетам на сумму до 100 тыс. рублей (п. 4 ч. 1 ст. 93) и до 400 тыс. рублей (п. 5 ч. 1 ст. 93), здесь также нет ограничений по суммам.

Поставщик должен подтвердить свои исключительные права и (или) исключительные лицензии на предоставляемую продукцию. Как обычно, для этого требуется гарантийное письмо за подписью директора (или другого уполномоченного лица – распорядителя), заверенное «живой» печатью, в котором подтверждается наличие таких прав или лицензий. К гарантийному письму прилагается спецификация с перечнем авторов, номеров и дат договоров на получение издательством таких прав.

Этот документ является достаточным для подтверждения наличия у поставщика исключительных прав. Издательские договоры с авторами являются коммерческой тайной, поэтому требования отдельных регионов о предоставлении копий издательских договоров с авторами в комплекте документации к контракту считаем неправомерными. Такие требования могут быть предъявлены поставщику только в ходе проведения проверки уполномоченными государственными органами.

Издательство, естественно, предоставляет только те произведения, на которые у него есть исключительные лицензии на выпуск и распространение.

Следует отметить то, какие дополнительные требования к заказчику появились по сравнению с ФЗ-94:

В целях эффективного расходования бюджетных средств при осуществлении закупки из единственного источника контракт должен содержать расчёт цены (п. 2–4 ч. 2 ст. 93).

В соответствии с п. 4 ч. 1 ст. 94 и п.13,14 ч. 1 ст. 93 заказчик обязан привлекать внешних экспертов и экспертные организации к оцениванию товаров, работ, услуг, закупленных у единственного поставщика. При осуществлении закупок на суммы до 100 тыс. и до 400 тыс. рублей этого не требуется.

Должен ли заказчик устанавливать обеспечение исполнения контракта при закупке у единственного поставщика (издательства) по исключительным правам?

Пункт 2 ст. 96 «Обеспечение исполнения контракта» ФЗ-44 поясняет, что заказчик не обязан, но вправе установить требование обеспечения исполнения контракта в извещении и (или) в проекте контракта при закупке у единственного поставщика по исключительным правам (п. 14 ч. 1 ст. 93).

Исполнение контракта может обеспечиваться предоставлением банковской гарантии или внесением денежных средств на указанный заказчиком счёт. Способ предоставления обеспечения определяется участником закупки. Размер обеспечения должен составлять от 5 до 30% начальной (максимальной) цены контракта, указанной в извещении о закупке.

РАСЧЁТ И ОБОСНОВАНИЕ НАЧАЛЬНОЙ (МАКСИМАЛЬНОЙ) ЦЕНЫ КОНТРАКТА

Для расчёта и обоснования начальной (максимальной) цены контракта (НМЦК) используются методические рекомендации Министерства экономического развития РФ по применению методов определения НМЦК, заключаемого с единственным поставщиком (подрядчиком, исполнителем), утверждённые приказом Минэкономразвития России от 02.10.2013 № 567.

Приоритетным методом для обоснования НМЦК является метод сопоставимых рыночных цен (исследования рынка).

Согласно рекомендациям, требуется направить запросы о предоставлении ценовой информации не менее чем пяти поставщикам, обладающим опытом поставок соответствующих товаров, работ, услуг, информация о которых имеется в свободном доступе (в частности, опубликована в печати, размещена на сайтах в сети Интернет). Это не значит, что от всех пяти поставщиков будут получены коммерческие предложения. Вместо направления запросов пяти поставщикам, заказчик может сделать скриншоты с опубликованных в Интернете страниц с указанием времени и даты.

Для расчёта и обоснования НМЦК методом сопоставимых рыночных цен (анализа рынка) рекомендуется использовать не менее трёх цен товара, работы, услуги, предлагаемых различными поставщиками (подрядчиками, исполнителями) – п. 3.19.

Обоснование НМЦК заключается в выполнении расчёта указанной цены с приложением справочной информации и документов либо с указанием реквизитов документов, на основании которых выполнен расчёт.

Заказчику необходимо обеспечить получение от поставщиков ценовых предложений и зафиксировать их (исх. №… от…, вх. №… от…).

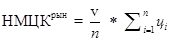
НМЦК рассчитывается в соответствии с формулой, приведённой в методических рекомендациях:

goryachaya-1

где:

goryachaya-2- начальная (максимальная) цена контракта (цена лота), определяемая методом сопоставимых рыночных цен (анализа рынка);

goryachaya-3- количество (объем) закупаемого товара (работы, услуги);

goryachaya-4- количество значений, используемых в расчете;

goryachaya-5- номер источника ценовой информации;

goryachaya-6- цена услуги, представленная в источнике с номером goryachaya-5.

Эта мудреная с виду формула является ничем иным, как расчетом среднего арифметического по полученным от трех фирм ценовым предложениям.

Например, направлен запрос на ценовое предложение 5 поставщикам:

                     Директору  КТФ

Запрос о предоставлении ценовой информации

Уважаемый господин,_______________!

Просим Вас предоставить для целей определения НМЦК следующую информацию:

1) общую информацию об опыте поставки печатной продукции;

2) информацию о наличии опыта выполнения аналогичных контрактов в течение последних трех лет;

3) данные о возможности поставки продукции согласно прилагаемому списку книг с указанием предлагаемой Вами цены единицы товара и общей цены контракта.

Просим предоставить вышеуказанную информацию в срок до  ___.___. 2014 года.

Информация может быть направлена следующими способами:

по электронной почте: …..

по факсу: ….

почтой или курьером по адресу: ….

Обращаем Ваше внимание на то, что проведение процедуры сбора информации не влечет за собой никаких обязательств Заказчика.

Приложение: Список книг.

С уважением,

Директор ЦБС ИВАНОВА М.И.                                               

Приложение

Список  книг, необходимых для ЦБС ……

 

Наименование товара, услуг

Цена поставки

1

"Двойка" по поведению: Рассказы, повесть / Е.В.Габова - М.: Аквилегия-М, 2013 - 256 с. (Совр. проза)

 

2

"Каштанка" и другие рассказы / А.П. Чехов - М.: Самовар, 2012. - 95 с. - (Школьная библиотека)

 

3

Авторитетный роман / В.Г. Колычев. - М.: Эксмо, 2013. - 384 с. - (Колычев. Мастер крим. интриги)

 

 

 

 

 

 

 

100

………..

 

Затем коммерческие  предложения по предложенному списку, полученные от трёх поставщиков  сводим в единую таблицу:

 

Наименование

Организация 1

Организация 2

Организация 3

1

"Двойка" по поведению: Рассказы, повесть / Е.В.Габова - М.: Аквилегия-М, 2013 - 256 с. (Совр. проза)

200,00

190,00

180,00

2

"Каштанка" и другие рассказы / А.П. Чехов - М.: Самовар, 2012. - 95 с. - (Школьная библиотека)

100,00

110,00

100,00

3

Авторитетный роман / В.Г. Колычев. - М.: Эксмо, 2013. - 384 с. - (Колычев. Мастер крим. интриги)

150,00

130,00

155,00

 

 

 

 

 

 

 

 

 

 

 

 

 

 

 

1000

………..

193434,18

208343,70

212513,45

Таким образом,  получены от трех коммерческих организаций предложения:

вход. от  03.03.2014 № 100 «Организация 1» на сумму 193434,18;

вход. от 03.03.2014 № 101 «Организация 2» на сумму 208343,70

вход. от 03.03.2014 № 102 «Организация 3» на сумму 212513,45.

НМЦК = (193434,18+208343,70+212513,45)/3 = 614291,33 /3 = 204763,78

Таким образом средняя НМЦК будет равна 204763,78 рублей.

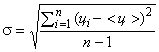
В целях определения однородности совокупности значений выявленных цен, используемых в расчете НМЦК необходимо определить коэффициент вариации.

Коэффициент вариации цены рассчитывается  по следующей формуле:

goryachaya-8

где: goryachaya-9- коэффициент вариации;

 goryachaya-10- среднее квадратичное отклонение;

goryachaya-11- цена, услуги, указанная в источнике с номером I;

goryachaya-12 - средняя арифметическая величина цены услуги;

goryachaya-13- количество значений, используемых в расчете.

Таким образом,

goryachaya-14х100=0,05%

Совокупность значений, используемых в расчете, при определении НМЦК считается неоднородной, если коэффициент вариации цены превышает 33%. В этом случае рекомендуется провести дополнительные исследования в целях увеличения количества ценовой информации, используемой в расчетах.

В приведенном примере можно сделать вывод об однородности ценовых предложений.

О порядке исполнения контракта и приёмки товара, проведении экспертизы и требованиях к экспертам, отчёте о невозможности (нецелесообразности) использования иных способов осуществления закупок и особенностях закупки по ФЗ-223 читайте в майском номере «УК».

Авторы Татьяна Викторовна ПЕТРУСЕНКО, заведующая ОК РНБ, председатель Секции РБА по формированию библиотечных фондов; Ирина Всеволодовна ЭЙДЕМИЛЛЕР, заведующая НИОБФ РНБ, секретарь Секции РБА по формированию библиотечных фондов


Рубрика: Библиотечное дело

Год: 2014

Месяц: Апрель

Теги: Ирина Эйдемиллер Татьяна Петрусенко